Упр.1.83 ГДЗ Дорофеев Суворова 8 класс (Алгебра)
Решение #1

Рассмотрим вариант решения задания из учебника Дорофеев, Суворова, Бунимович 8 класс, Просвещение:
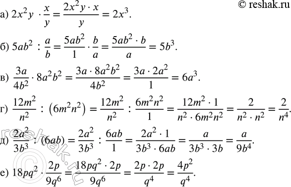
Выполните умножение или деление:
а) 2x^2 y •x/y;
б) 5ab^2 :a/b;
в) 3a/(4b^2 )•8a^2 b^2;
г) (12m^2)/n^2 :(6m^2 n^2 );
д) (2a^2)/(3b^3 ) :(6ab);
е) 18pq^2•2p/(9q^6 ).
Популярные решебники 8 класс Все решебники
*размещая тексты в комментариях ниже, вы автоматически соглашаетесь с пользовательским соглашением