Упр.1.81 ГДЗ Дорофеев Суворова 8 класс (Алгебра)
Решение #1

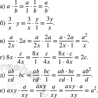
Рассмотрим вариант решения задания из учебника Дорофеев, Суворова, Бунимович 8 класс, Просвещение:
Найдите произведение дроби и одночлена (пример 4 из текста):
а) a•1/b;
б) 3/x•y;
в) a/2x•2a;
г) 8x•c/4x;
д) ab/cd•bc;
е) axy•a/xy.
Популярные решебники 8 класс Все решебники
*размещая тексты в комментариях ниже, вы автоматически соглашаетесь с пользовательским соглашением