Упр.1.80 ГДЗ Дорофеев Суворова 8 класс (Алгебра)
Решение #1

Рассмотрим вариант решения задания из учебника Дорофеев, Суворова, Бунимович 8 класс, Просвещение:
Упростите выражение:
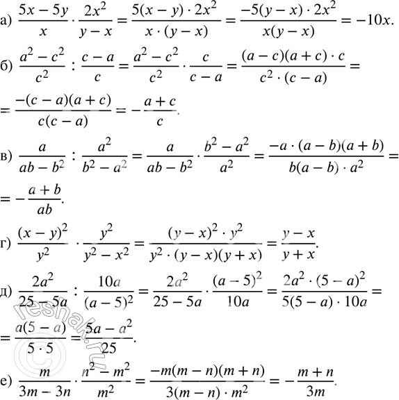
а) (5x-5y)/x•(2x^2)/(y-x);
б) (a^2-c^2)/c^2 :(c-a)/c;
в) a/(ab-b^2 ) :a^2/(b^2-a^2 );
г) (x-y)^2/y^2 •y^2/(y^2-x^2 );
д) (2a^2)/(25-5a) :10a/(a-5)^2 ;
е) m/(3m-3n)•(n^2-m^2)/m^2 .
Популярные решебники 8 класс Все решебники
*размещая тексты в комментариях ниже, вы автоматически соглашаетесь с пользовательским соглашением