Упр.1.79 ГДЗ Дорофеев Суворова 8 класс (Алгебра)
Решение #1

Рассмотрим вариант решения задания из учебника Дорофеев, Суворова, Бунимович 8 класс, Просвещение:
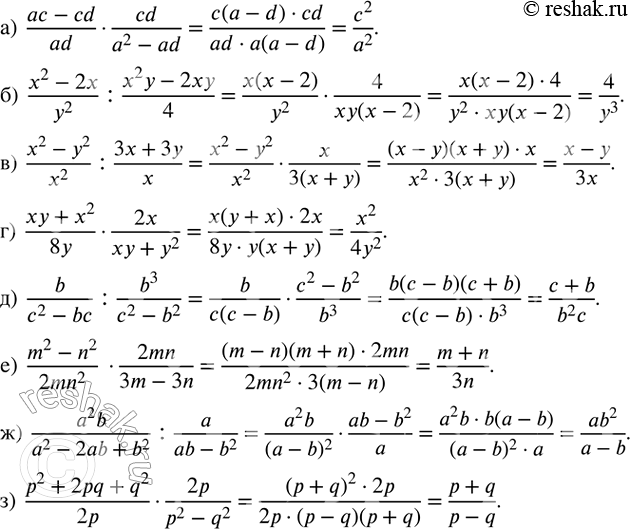
Выполните действия:
а) (ac-cd)/ad•cd/(a^2-ad);
б) (x^2-2x)/y^2 :(x^2 y-2xy)/4;
в) (x^2-y^2)/x^2 :(3x+3y)/x;
г) (xy+x^2)/8y•2x/(xy+y^2 );
д) b/(c^2-bc) :b^3/(c^2-b^2 )
е) (m^2-n^2)/(2mn^2 ) •2mn/(3m-3n);
ж) (a^2 b)/(a^2-2ab+b^2 ) :a/(ab-b^2 );
з) (p^2+2pq+q^2)/2p•2p/(p^2-q^2 ).
Популярные решебники 8 класс Все решебники
*размещая тексты в комментариях ниже, вы автоматически соглашаетесь с пользовательским соглашением