Упр.1.78 ГДЗ Дорофеев Суворова 8 класс (Алгебра)
Решение #1

Рассмотрим вариант решения задания из учебника Дорофеев, Суворова, Бунимович 8 класс, Просвещение:
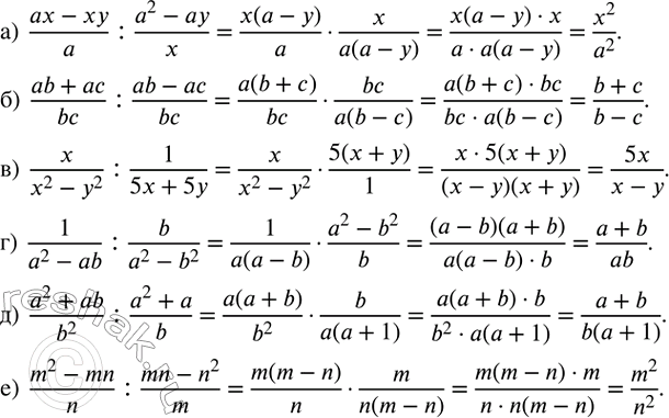
Выполните деление:
а) (ax-xy)/a :(a^2-ay)/x;
б) (ab+ac)/bc :(ab-ac)/bc;
в) x/(x^2-y^2 ) :1/(5x+5y);
г) 1/(a^2-ab) :b/(a^2-b^2 );
д) (a^2+ab)/b^2 :(a^2+a)/b;
е) (m^2-mn)/n :(mn-n^2)/m.
Популярные решебники 8 класс Все решебники
*размещая тексты в комментариях ниже, вы автоматически соглашаетесь с пользовательским соглашением