Упр.1.70 ГДЗ Дорофеев Суворова 8 класс (Алгебра)
Решение #1

Рассмотрим вариант решения задания из учебника Дорофеев, Суворова, Бунимович 8 класс, Просвещение:
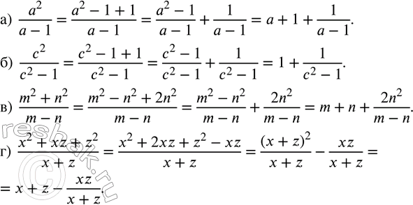
Представьте дробь в виде суммы или в виде разности многочлена и дроби:
а) a^2/(a-1);
б) c^2/(c^2-1);
в) (m^2+n^2)/(m-n);
г) (x^2+xz+z^2)/(x+z).
Популярные решебники 8 класс Все решебники
*размещая тексты в комментариях ниже, вы автоматически соглашаетесь с пользовательским соглашением