Упр.1.69 ГДЗ Дорофеев Суворова 8 класс (Алгебра)
Решение #1

Рассмотрим вариант решения задания из учебника Дорофеев, Суворова, Бунимович 8 класс, Просвещение:
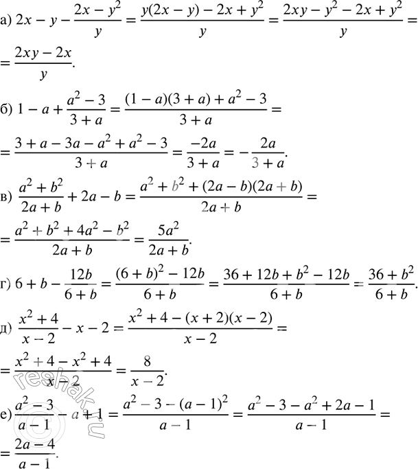
Представьте в виде дроби:
а) 2x-y-(2x-y^2)/y;
б) 1-a+(a^2-3)/(3+a);
в) (a^2+b^2)/(2a+b)+2a-b;
г) 6+b-12b/(6+b);
д) (x^2+4)/(x-2)-x-2;
е) (a^2-3)/(a-1)-a+1.
Популярные решебники 8 класс Все решебники
*размещая тексты в комментариях ниже, вы автоматически соглашаетесь с пользовательским соглашением