Упр.1.67 ГДЗ Дорофеев Суворова 8 класс (Алгебра)
Решение #1

Рассмотрим вариант решения задания из учебника Дорофеев, Суворова, Бунимович 8 класс, Просвещение:
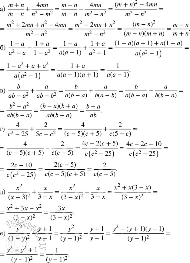
Упростите выражение:
а) (m+n)/(m-n)+4mn/(n^2-m^2 );
б) (1-a)/(a^2-a)-(1+a)/(1-a^2 );
в) b/(ab-a^2 )+a/(ab-b^2 );
г) 4/(c^2-25)+2/(5c-c^2 );
д) x^2/(x-3)^2 +x/(3-x);
е) y^2/(1-y)^2 -(y+1)/(y-1).
Популярные решебники 8 класс Все решебники
*размещая тексты в комментариях ниже, вы автоматически соглашаетесь с пользовательским соглашением