Упр.1.66 ГДЗ Дорофеев Суворова 8 класс (Алгебра)
Решение #1

Рассмотрим вариант решения задания из учебника Дорофеев, Суворова, Бунимович 8 класс, Просвещение:
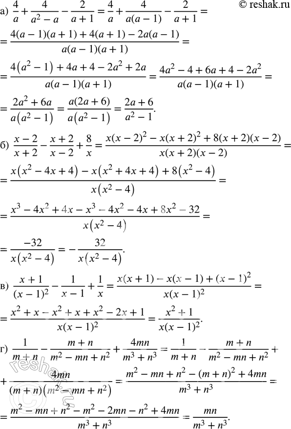
Упростите выражение:
а) 4/a+4/(a^2-a)-2/(a+1);
б) (x-2)/(x+2)-(x+2)/(x-2)+8/x;
в) (x+1)/(x-1)^2 -1/(x-1)+1/x;
г) 1/(m+n)-(m+n)/(m^2-mn+n^2 )+4mn/(m^3+n^3 ).
Популярные решебники 8 класс Все решебники
*размещая тексты в комментариях ниже, вы автоматически соглашаетесь с пользовательским соглашением