Упр.1.65 ГДЗ Дорофеев Суворова 8 класс (Алгебра)
Решение #1

Рассмотрим вариант решения задания из учебника Дорофеев, Суворова, Бунимович 8 класс, Просвещение:
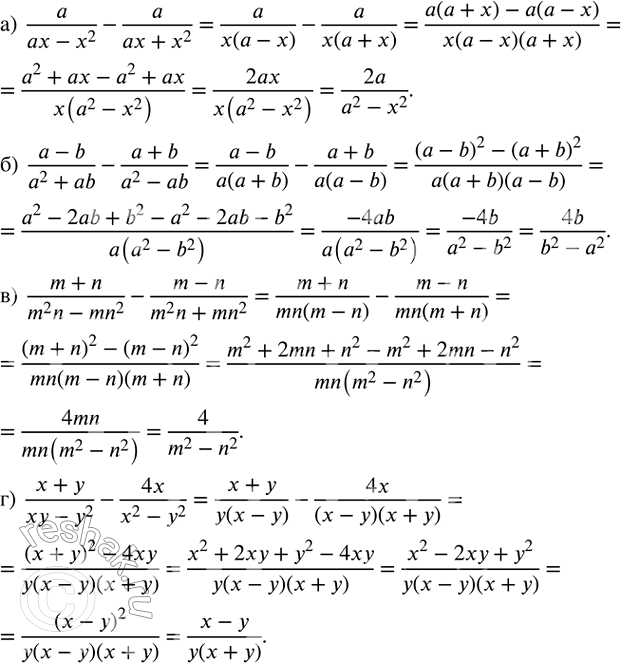
Упростите выражение:
а) a/(ax-x^2 )-a/(ax+x^2 );
б) (a-b)/(a^2+ab)-(a+b)/(a^2-ab);
в) (m+n)/(m^2 n-mn^2 )-(m-n)/(m^2 n+mn^2 );
г) (x+y)/(xy-y^2 )-4x/(x^2-y^2 ).
Популярные решебники 8 класс Все решебники
*размещая тексты в комментариях ниже, вы автоматически соглашаетесь с пользовательским соглашением