Упр.1.64 ГДЗ Дорофеев Суворова 8 класс (Алгебра)
Решение #1

Рассмотрим вариант решения задания из учебника Дорофеев, Суворова, Бунимович 8 класс, Просвещение:
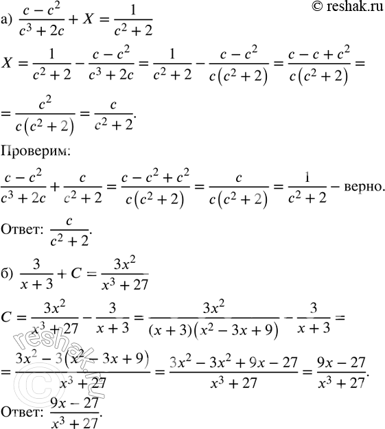
а) Найдите дробь, которую надо сложить с дробью (c-c^2)/(c^3+2c), чтобы получить 1/(c^2+2). Проверьте результат.
б) Найдите дробь, которую надо сложить с дробью 3/(x+3), чтобы получить 3x^2/(x^3+27).
Популярные решебники 8 класс Все решебники
*размещая тексты в комментариях ниже, вы автоматически соглашаетесь с пользовательским соглашением