Упр.1.62 ГДЗ Дорофеев Суворова 8 класс (Алгебра)
Решение #1

Рассмотрим вариант решения задания из учебника Дорофеев, Суворова, Бунимович 8 класс, Просвещение:
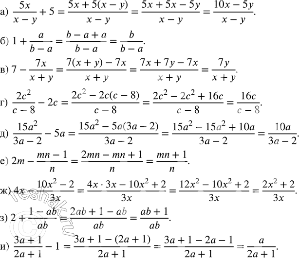
Представьте выражение в виде дроби; в качестве образца используйте пример 5 из текста.
а) 5x/(x-y)+5;
б) 1+a/(b-a);
в) 7-7x/(x+y);
г) (2c^2)/(c-8)-2c;
д) (15a^2)/(3a-2)-5a;
е) 2m-(mn-1)/n;
ж) 4x-(10x^2-2)/3x;
з) 2+(1-ab)/ab;
и) (3a+1)/(2a+1)-1.
Популярные решебники 8 класс Все решебники
*размещая тексты в комментариях ниже, вы автоматически соглашаетесь с пользовательским соглашением