Упр.1.59 ГДЗ Дорофеев Суворова 8 класс (Алгебра)
Решение #1

Рассмотрим вариант решения задания из учебника Дорофеев, Суворова, Бунимович 8 класс, Просвещение:
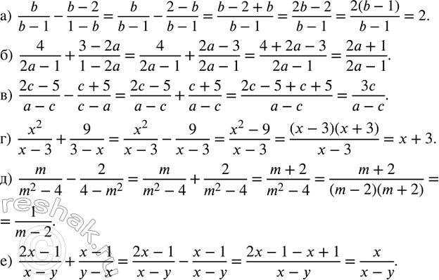
Упростите выражение:
а) b/(b-1)-(b-2)/(1-b);
б) 4/(2a-1)+(3-2a)/(1-2a);
в) (2c-5)/(a-c)-(c+5)/(c-a);
г) x^2/(x-3)+9/(3-x);
д) m/(m^2-4)-2/(4-m^2 );
е) (2x-1)/(x-y)+(x-1)/(y-x).
Популярные решебники 8 класс Все решебники
*размещая тексты в комментариях ниже, вы автоматически соглашаетесь с пользовательским соглашением