Упр.1.56 ГДЗ Дорофеев Суворова 8 класс (Алгебра)
Решение #1

Рассмотрим вариант решения задания из учебника Дорофеев, Суворова, Бунимович 8 класс, Просвещение:
Упростите выражение.
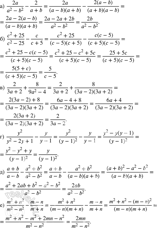
а) 2a/(a^2-b^2 )-2/(a+b);
б) (c^2+25)/(c^2-25)-c/(c+5);
в) 2/(3a+2)+8/(9a^2-4);
г) y^2/(y^2-2y+1)-y/(y-1);
д) (a+b)/(a-b)-(a^2+b^2)/(a^2-b^2 );
е) (m^2+n^2)/(m^2-n^2 )-(m-n)/(m+n).
Популярные решебники 8 класс Все решебники
*размещая тексты в комментариях ниже, вы автоматически соглашаетесь с пользовательским соглашением