Упр.1.54 ГДЗ Дорофеев Суворова 8 класс (Алгебра)
Решение #1

Рассмотрим вариант решения задания из учебника Дорофеев, Суворова, Бунимович 8 класс, Просвещение:
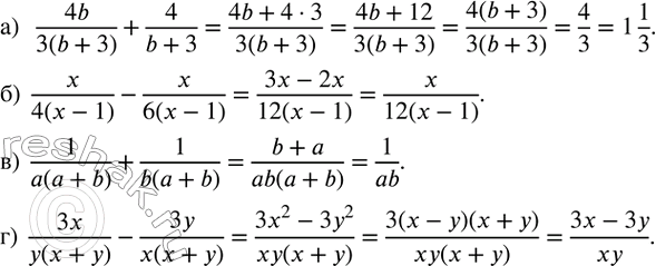
Упростите выражение.
а) 4b/3(b+3) +4/(b+3);
б) x/4(x-1) -x/6(x-1) ;
в) 1/a(a+b) +1/b(a+b) ;
г) 3x/y(x+y) -3y/x(x+y) .
Популярные решебники 8 класс Все решебники
*размещая тексты в комментариях ниже, вы автоматически соглашаетесь с пользовательским соглашением