Упр.1.49 ГДЗ Дорофеев Суворова 8 класс (Алгебра)
Решение #1

Рассмотрим вариант решения задания из учебника Дорофеев, Суворова, Бунимович 8 класс, Просвещение:
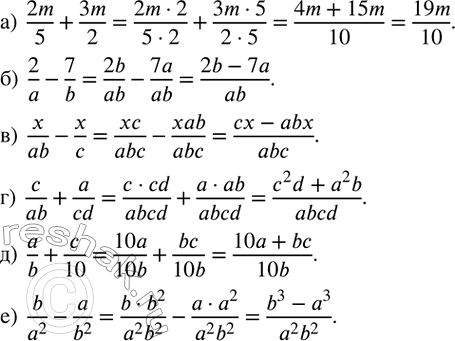
Приведите дроби к общему знаменателю и выполните сложение или вычитание; в качестве образца используйте пример 2 из текста.
а) 2m/5+3m/2;
б) 2/a-7/b;
в) x/ab-x/c;
г) c/ab+a/cd;
д) a/b+c/10;
е) b/a^2 -a/b^2.
Популярные решебники 8 класс Все решебники
*размещая тексты в комментариях ниже, вы автоматически соглашаетесь с пользовательским соглашением