Упр.1.45 ГДЗ Дорофеев Суворова 8 класс (Алгебра)
Решение #1

Рассмотрим вариант решения задания из учебника Дорофеев, Суворова, Бунимович 8 класс, Просвещение:
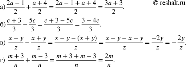
Выполните сложение или вычитание дробей.
а) (2a-1)/2+(a+4)/2;
б) (c+3)/3-5c/3;
в) (x-y)/z-(x+y)/z;
г) (m+3)/n+(m-3)/n.
Популярные решебники 8 класс Все решебники
*размещая тексты в комментариях ниже, вы автоматически соглашаетесь с пользовательским соглашением