Упр.1.44 ГДЗ Дорофеев Суворова 8 класс (Алгебра)
Решение #1

Рассмотрим вариант решения задания из учебника Дорофеев, Суворова, Бунимович 8 класс, Просвещение:
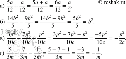
Выполните сложение или вычитание дробей.
а) 5a/12+a/12;
б) (14b^2)/5-(9b^2)/5;
в) (3p^2)/10c-(7p^2)/10c-p^2/10c;
г) 5/3m-7/3m-1/3m;
Популярные решебники 8 класс Все решебники
*размещая тексты в комментариях ниже, вы автоматически соглашаетесь с пользовательским соглашением