Упр.1.42 ГДЗ Дорофеев Суворова 8 класс (Алгебра)
Решение #1

Рассмотрим вариант решения задания из учебника Дорофеев, Суворова, Бунимович 8 класс, Просвещение:
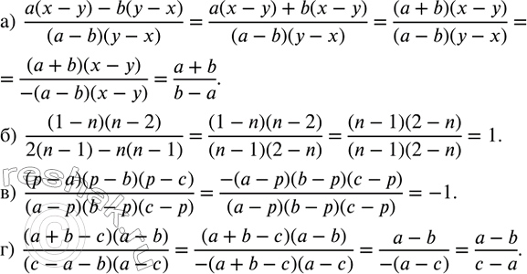
Сократите дробь.
а) (a(x-y)-b(y-x))/(a-b)(y-x);
б) (1-n)(n-2)/(2(n-1)-n(n-1) );
в) (p-a)(p-b)(p-c)/(a-p)(b-p)(c-p);
г) (a+b-c)(a-b)/(c-a-b)(a-c);
Популярные решебники 8 класс Все решебники
*К сожалению, временные проблемы с публикацией комментариев с мобильных устройств.