Упр.1.41 ГДЗ Дорофеев Суворова 8 класс (Алгебра)
Решение #1

Рассмотрим вариант решения задания из учебника Дорофеев, Суворова, Бунимович 8 класс, Просвещение:
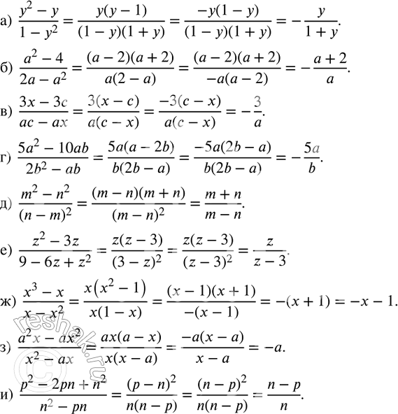
Сократите дробь.
а) (y^2-y)/(1-y^2 );
б) (a^2-4)/(2a-a^2 );
в) (3x-3c)/(ac-ax);
г) (5a^2-10ab)/(2b^2-ab);
д) (m^2-n^2)/(n-m)^2;
е) (z^2-3z)/(9-6z+z^2 );
ж) (x^3-x)/(x-x^2 );
з) (a^2 x-ax^2)/(x^2-ax);
и) (p^2-2pn+n^2)/(n^2-pn).
Популярные решебники 8 класс Все решебники
*размещая тексты в комментариях ниже, вы автоматически соглашаетесь с пользовательским соглашением