Упр.1.38 ГДЗ Дорофеев Суворова 8 класс (Алгебра)
Решение #1

Рассмотрим вариант решения задания из учебника Дорофеев, Суворова, Бунимович 8 класс, Просвещение:
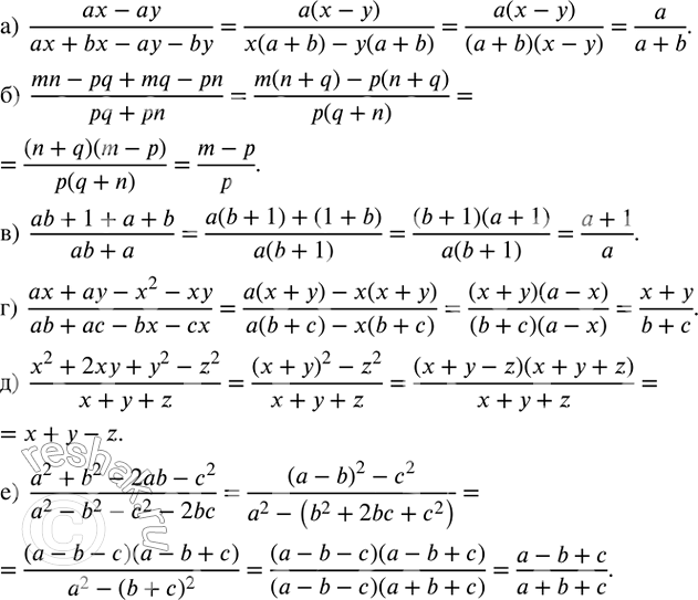
Разложите на множители числитель и знаменатель дроби и сократите ее:
а) (ax-ay)/(ax+bx-ay-by);
б) (mn-pq+mq-pn)/(pq+pn);
в) (ab+1+a+b)/(ab+a);
г) (ax+ay-x^2-xy)/(ab+ac-bx-cx);
е) (a^2+b^2-2ab-c^2)/(a^2-b^2-c^2-2bc).
Популярные решебники 8 класс Все решебники
*размещая тексты в комментариях ниже, вы автоматически соглашаетесь с пользовательским соглашением