Упр.1.37 ГДЗ Дорофеев Суворова 8 класс (Алгебра)
Решение #1

Рассмотрим вариант решения задания из учебника Дорофеев, Суворова, Бунимович 8 класс, Просвещение:
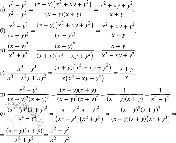
Сократите дробь:
а) (x^3-y^3)/(x^2-y^2 );
б) (x^3-y^3)/(x-y)^2;
в) (x+y)^2/(x^3+y^3 );
г) (x^3+y^3)/(x^3-x^2 y+xy^2 );
д) (x^2-y^2)/((x-y)^2 (x+y)^2 );
е) ((x-y)^2 (x+y)^2)/(x^4-y^4 ).
Популярные решебники 8 класс Все решебники
*размещая тексты в комментариях ниже, вы автоматически соглашаетесь с пользовательским соглашением