Упр.1.33 ГДЗ Дорофеев Суворова 8 класс (Алгебра)
Решение #1

Рассмотрим вариант решения задания из учебника Дорофеев, Суворова, Бунимович 8 класс, Просвещение:
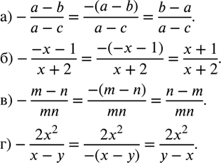
Замените выражение равным ему так, чтобы перед дробью не было знака «минус»:
а) -(a-b)/(a-c);
б) -(-x-1)/(x+2);
в) -(m-n)/mn;.
г) -(2x^2)/(x-y).
Популярные решебники 8 класс Все решебники
*размещая тексты в комментариях ниже, вы автоматически соглашаетесь с пользовательским соглашением