Упр.1.31 ГДЗ Дорофеев Суворова 8 класс (Алгебра)
Решение #1

Рассмотрим вариант решения задания из учебника Дорофеев, Суворова, Бунимович 8 класс, Просвещение:
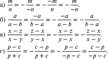
Восстановите запись:
а) m/n=-.../(-n)=-(-m)/...=-.../(-n).
б) a/(a-b)=(-a)/...=-(-a)/...=-.../(b-a).
в) (x-z)/(x-y)=.../(y-x)=-(x-z)/...=-.../(x-y).
г) (p-c)/(p+c)=-.../(p+c)=-(p-c)/...=.../(-p-c).
Популярные решебники 8 класс Все решебники
*размещая тексты в комментариях ниже, вы автоматически соглашаетесь с пользовательским соглашением