Упр.1.30 ГДЗ Дорофеев Суворова 8 класс (Алгебра)
Решение #1

Рассмотрим вариант решения задания из учебника Дорофеев, Суворова, Бунимович 8 класс, Просвещение:
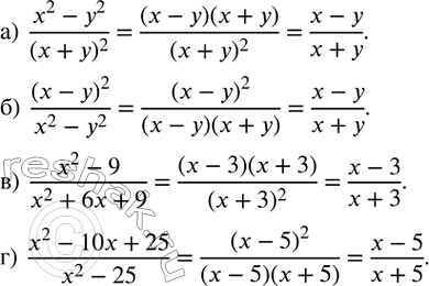
Сократите дробь:
а) (x^2-y^2)/(x+y)^2;
б) (x-y)^2/(x^2-y^2 );
в) (x^2-9)/(x^2+6x+9);
г) (x^2-10x+25)/(x^2-25).
Популярные решебники 8 класс Все решебники
*размещая тексты в комментариях ниже, вы автоматически соглашаетесь с пользовательским соглашением