Упр.1.28 ГДЗ Дорофеев Суворова 8 класс (Алгебра)
Решение #1

Рассмотрим вариант решения задания из учебника Дорофеев, Суворова, Бунимович 8 класс, Просвещение:
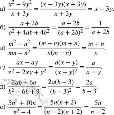
Сократите дробь:
а) (x^2-9y^2)/(x+3y);
б) (a+2b)/(a^2+4ab+4b^2 );
в) (m^2-n^2)/(mn-n^2 );
г) (ax-ay)/(x^2-2xy+y^2 );
д) (2ab-6a)/(b^2-6b+9);
е) (5n^2+10n)/(n^2-4).
Популярные решебники 8 класс Все решебники
*размещая тексты в комментариях ниже, вы автоматически соглашаетесь с пользовательским соглашением