Упр.1.25 ГДЗ Дорофеев Суворова 8 класс (Алгебра)
Решение #1

Рассмотрим вариант решения задания из учебника Дорофеев, Суворова, Бунимович 8 класс, Просвещение:
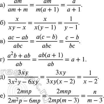
Сократите дробь:
а) am/(am+m);
б) x/(xy-x);
в) (ac-ab)/abc;
г) (a^2 b+ab)/ab;
д) 3xy/(3x^2 y-6xy);
е) 2mnp/(2m^2 p-6mp).
Популярные решебники 8 класс Все решебники
*размещая тексты в комментариях ниже, вы автоматически соглашаетесь с пользовательским соглашением