Упр.1.23 ГДЗ Дорофеев Суворова 8 класс (Алгебра)
Решение #1

Рассмотрим вариант решения задания из учебника Дорофеев, Суворова, Бунимович 8 класс, Просвещение:
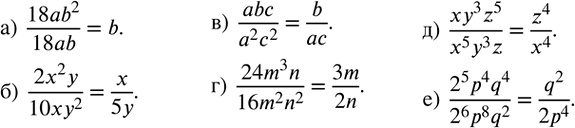
Сократите дробь:
а) (18ab^2)/18ab;
б) (2x^2 y)/(10xy^2 );
в) abc/(a^2 c^2 );
г) (24m^3 n)/(16m^2 n^2 );
д) (xy^3 z^5)/(x^5 y^3 z);
е) (2^5 p^4 q^4)/(2^6 p^8 q^2 ).
Популярные решебники 8 класс Все решебники
*размещая тексты в комментариях ниже, вы автоматически соглашаетесь с пользовательским соглашением