Упр.1.21 ГДЗ Дорофеев Суворова 8 класс (Алгебра)
Решение #1

Рассмотрим вариант решения задания из учебника Дорофеев, Суворова, Бунимович 8 класс, Просвещение:
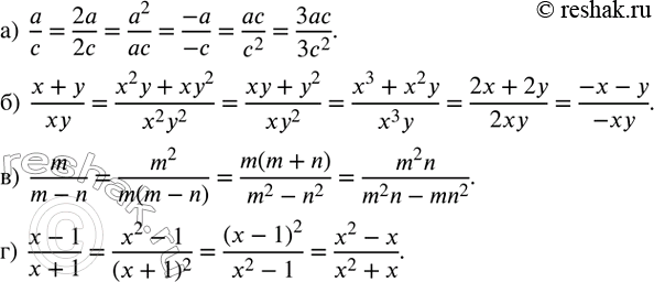
Приведите дробь:
а) a/c к знаменателю 2c; ac; -c; c^2; 3c^2;
б) (x+y)/xy к знаменателю x^2y^2; xy^2; x^3y; 2xy; -xy;
в) m/(m-n) к знаменателю m(m-n); m^2-n^2; m^2n-mn^2;
г) (x-1)/(x+1) к знаменателю (x+1)^2; x^2-1; x^2+x.
Популярные решебники 8 класс Все решебники
*размещая тексты в комментариях ниже, вы автоматически соглашаетесь с пользовательским соглашением