Упр.1.162 ГДЗ Дорофеев Суворова 8 класс (Алгебра)
Решение #1

Рассмотрим вариант решения задания из учебника Дорофеев, Суворова, Бунимович 8 класс, Просвещение:
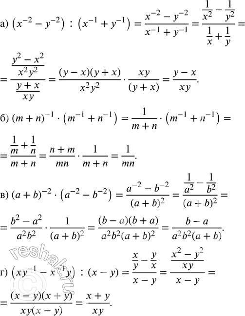
Преобразуйте в дробь выражение:
а) (x^(-2)-y^(-2) ) :(x^(-1)+y^(-1) );
б) (m+n)^(-1)•(m^(-1)+n^(-1) );
в) (a+b)^(-2)•(a^(-2)-b^(-2) );
г) (xy^(-1)-x^(-1) y) :(x-y).
Популярные решебники 8 класс Все решебники
*размещая тексты в комментариях ниже, вы автоматически соглашаетесь с пользовательским соглашением