Упр.1.160 ГДЗ Дорофеев Суворова 8 класс (Алгебра)
Решение #1

Рассмотрим вариант решения задания из учебника Дорофеев, Суворова, Бунимович 8 класс, Просвещение:
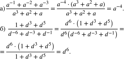
Сократите дробь:
а) (a^(-1)+a^(-2)+a^(-3))/(a^3+a^2+a);
б) (1+d^3+d^5)/(d^(-6)+d^(-3)+d^(-1) ).
Популярные решебники 8 класс Все решебники
*размещая тексты в комментариях ниже, вы автоматически соглашаетесь с пользовательским соглашением