Упр.1.159 ГДЗ Дорофеев Суворова 8 класс (Алгебра)
Решение #1

Рассмотрим вариант решения задания из учебника Дорофеев, Суворова, Бунимович 8 класс, Просвещение:
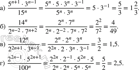
Сократите дробь:
а) (5^(n+1)•3^(n-1))/?15?^n ;
б) ?14?^n/(2^(n-2)•7^(n+2) );
в) ?12?^n/(2^(2n+1)•3^(n-1) );
г) (2^(2n-1)•5^(2n+1))/?100?^n .
Популярные решебники 8 класс Все решебники
*размещая тексты в комментариях ниже, вы автоматически соглашаетесь с пользовательским соглашением