Упр.1.157 ГДЗ Дорофеев Суворова 8 класс (Алгебра)
Решение #1

Рассмотрим вариант решения задания из учебника Дорофеев, Суворова, Бунимович 8 класс, Просвещение:
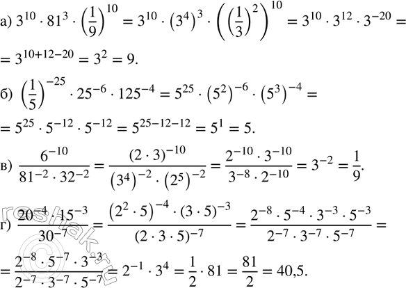
Найдите значение выражения:
а) 3^10•?81?^3•(1/9)^10;
б) (1/5)^(-25)•?25?^(-6)•?125?^(-4);
в) 6^(-10)/(?81?^(-2)•?32?^(-2) );
г) (?20?^(-4)•?15?^(-3))/?30?^(-7) .
Популярные решебники 8 класс Все решебники
*размещая тексты в комментариях ниже, вы автоматически соглашаетесь с пользовательским соглашением