Упр.1.155 ГДЗ Дорофеев Суворова 8 класс (Алгебра)
Решение #1

Рассмотрим вариант решения задания из учебника Дорофеев, Суворова, Бунимович 8 класс, Просвещение:
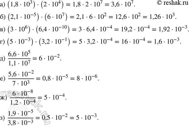
Выполните вычисления и результат представьте в десятичной записи:
а) (1,8•?10?^3 )•(2•?10?^4 );
б) (2,1•?10?^(-5) )•(6•?10?^7 );
в) (3•?10?^6 )•(6,4•?10?^(-10) );
г) (5•?10?^(-3) )•(3,2•?10?^(-1) );
д) (6,6•?10?^5)/(1,1•?10?^7 );
е) (5,6•?10?^(-2))/(7•?10?^3 );
ж) (6•?10?^(-8))/(1,2•?10?^(-4) );
з) (1,9•?10?^(-5))/(3,8•?10?^(-3) ).
Популярные решебники 8 класс Все решебники
*размещая тексты в комментариях ниже, вы автоматически соглашаетесь с пользовательским соглашением