Упр.1.153 ГДЗ Дорофеев Суворова 8 класс (Алгебра)
Решение #1

Рассмотрим вариант решения задания из учебника Дорофеев, Суворова, Бунимович 8 класс, Просвещение:
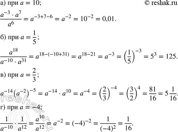
Представьте выражение в виде степени с основанием a и найдитего его значение при заданном значении a:
а) (a^(-3)•a^7)/a^6 , a=10;
б) a^18/(a^(-10)•a^31 ), a=1/5;
в) a^(-14) (a^(-2) )^(-5), a=2/3;
г) 1/a^(-10) •1/a^12 , a=-4.
Популярные решебники 8 класс Все решебники
*размещая тексты в комментариях ниже, вы автоматически соглашаетесь с пользовательским соглашением