Упр.1.151 ГДЗ Дорофеев Суворова 8 класс (Алгебра)
Решение #1

Рассмотрим вариант решения задания из учебника Дорофеев, Суворова, Бунимович 8 класс, Просвещение:
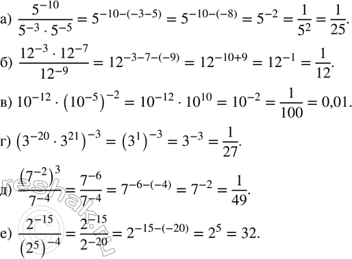
Найдите значение выражения:
а) 5^(-10)/(5^(-3)•5^(-5) );
б) (?12?^(-3)•?12?^(-7))/?12?^(-9) ;
в) ?10?^(-12)•(?10?^(-5) )^(-2);
г) (3^(-20)•3^21 )^(-3);
д) (7^(-2) )^3/7^(-4) ;
е) 2^(-15)/(2^5 )^(-4) .
Популярные решебники 8 класс Все решебники
*размещая тексты в комментариях ниже, вы автоматически соглашаетесь с пользовательским соглашением