Упр.1.150 ГДЗ Дорофеев Суворова 8 класс (Алгебра)
Решение #1

Рассмотрим вариант решения задания из учебника Дорофеев, Суворова, Бунимович 8 класс, Просвещение:
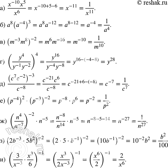
Упростите выражение:
а) (x^(-10) x^5)/x^6 ;
б) a^8 (a^(-4) )^3;
в) (m^(-3) m^8 )^(-2);
г) (y^4/(y^(-1) y^(-2) ))^4;
д) (c^7 c^(-2) )^(-3)/c^(-8) ;
е) (p^(-4) )^2•(p^(-3) )^(-2);
ж) (n^4/n^(-7) )^(-2)•n^(-5);
з) (2b^(-3)•5b^2 )^(-2);
и) (3/x^(-3) •x^3/6)^(-1).
Популярные решебники 8 класс Все решебники
*размещая тексты в комментариях ниже, вы автоматически соглашаетесь с пользовательским соглашением