Упр.1.146 ГДЗ Дорофеев Суворова 8 класс (Алгебра)
Решение #1

Рассмотрим вариант решения задания из учебника Дорофеев, Суворова, Бунимович 8 класс, Просвещение:
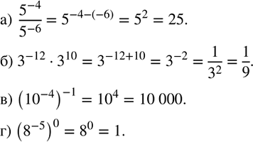
Найдите значение выражения:
а) 5^(-4)/5^(-6) ;
б) 3^(-12)•3^10;
в) (?10?^(-4) )^(-1);
г) (8^(-5) )^0.
Популярные решебники 8 класс Все решебники
*размещая тексты в комментариях ниже, вы автоматически соглашаетесь с пользовательским соглашением