Упр.1.145 ГДЗ Дорофеев Суворова 8 класс (Алгебра)
Решение #1

Рассмотрим вариант решения задания из учебника Дорофеев, Суворова, Бунимович 8 класс, Просвещение:
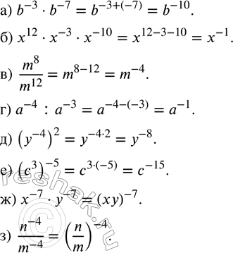
Представьте выражение в виде степени:
а) b^(-3)•b^(-7);
б) x^12•x^(-3)•x^(-10);
в) m^8/m^12 ;
г) a^(-4) :a^(-3);
д) (y^(-4) )^2;
е) (c^3 )^(-5);
ж) x^(-7)•y^(-7);
з) n^(-4)/m^(-4) .
Популярные решебники 8 класс Все решебники
*размещая тексты в комментариях ниже, вы автоматически соглашаетесь с пользовательским соглашением