Упр.1.144 ГДЗ Дорофеев Суворова 8 класс (Алгебра)
Решение #1

Рассмотрим вариант решения задания из учебника Дорофеев, Суворова, Бунимович 8 класс, Просвещение:
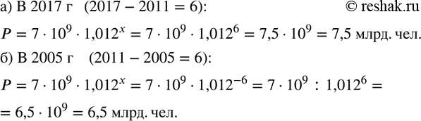
В 2011 г. численность населения Земли составила 7 млрд человек. Примерная численность населения через x лет после 2011 г. или за x лет до этого времени (при небольших значениях x) может быть расчитана по формуле P=7•?10?^9•?1,012?^x.
Запишите выражение для вычисления численности населения Земли и определите примерную численность населения:
а) в 2017 г.; б) в 2005 г.
Популярные решебники 8 класс Все решебники
*размещая тексты в комментариях ниже, вы автоматически соглашаетесь с пользовательским соглашением