Упр.1.134 ГДЗ Дорофеев Суворова 8 класс (Алгебра)
Решение #1

Рассмотрим вариант решения задания из учебника Дорофеев, Суворова, Бунимович 8 класс, Просвещение:
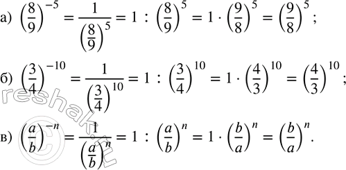
Докажите, что:
а) (8/9)^(-5)=(9/8)^5;
б) (3/4)^(-10)=(4/3)^10;
в) (a/b)^(-n)=(b/a)^n.
Популярные решебники 8 класс Все решебники
*размещая тексты в комментариях ниже, вы автоматически соглашаетесь с пользовательским соглашением