Упр.1.13 ГДЗ Дорофеев Суворова 8 класс (Алгебра)
Решение #1

Рассмотрим вариант решения задания из учебника Дорофеев, Суворова, Бунимович 8 класс, Просвещение:
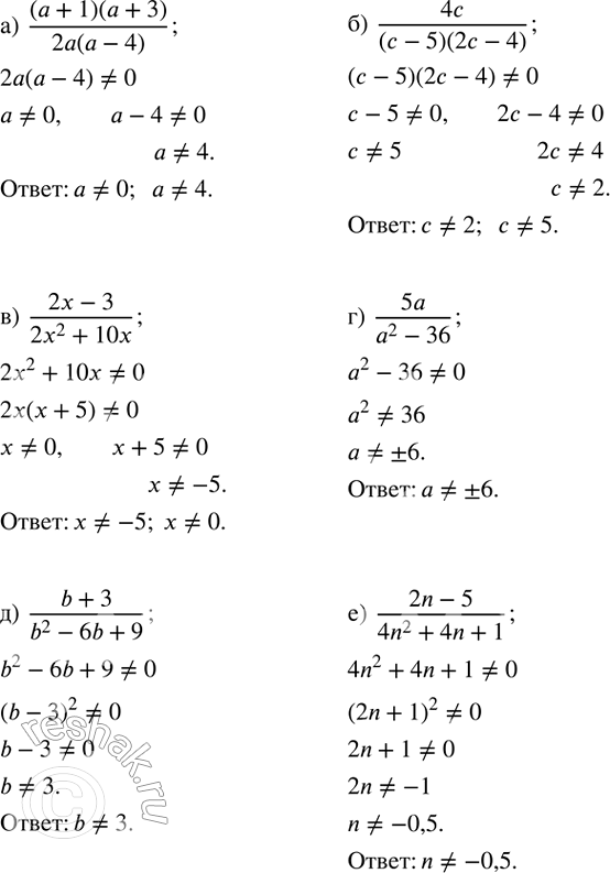
Найдите допустимые значения переменной для дроби:
а) (a+1)(a+3)/2a(a-4);
б) 4c/(c-5)(2c-4);
в) (2x-3)/(2x^2+10x);
г) 5a/(a^2-36);
д) (b+3)/(b^2-6b+9);
е) (2n-5)/(4n^2+4n+1).
Популярные решебники 8 класс Все решебники
*размещая тексты в комментариях ниже, вы автоматически соглашаетесь с пользовательским соглашением