Упр.1.119 ГДЗ Дорофеев Суворова 8 класс (Алгебра)
Решение #1

Рассмотрим вариант решения задания из учебника Дорофеев, Суворова, Бунимович 8 класс, Просвещение:
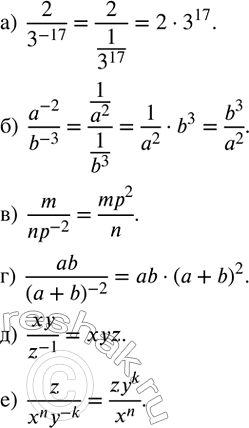
Запишите выражение, равное данному и не содержащее отрицательных показателей:
а) 2/(3^(-17);)
б) a^(-2)/b^(-3) ;
в) m/(np^(-2) );
г) ab/(a+b)^(-2) ;
д) xy/z^(-1) ;
е) z/(x^n y^(-k) ).
Популярные решебники 8 класс Все решебники
*размещая тексты в комментариях ниже, вы автоматически соглашаетесь с пользовательским соглашением