Упр.1.117 ГДЗ Дорофеев Суворова 8 класс (Алгебра)
Решение #1

Рассмотрим вариант решения задания из учебника Дорофеев, Суворова, Бунимович 8 класс, Просвещение:
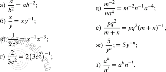
Представьте дробь в виде произведения:
а) a/b^2 ;
б) x/y;
в) 1/(xz^3 );
г) 2/(3c^2 );
д) m^(-2)/(na^4 );
е) (pq^2)/(m+n);
ж) 5/y^n ;
з) a^k/n^l .
Популярные решебники 8 класс Все решебники
*размещая тексты в комментариях ниже, вы автоматически соглашаетесь с пользовательским соглашением