Упр.1.11 ГДЗ Дорофеев Суворова 8 класс (Алгебра)
Решение #1

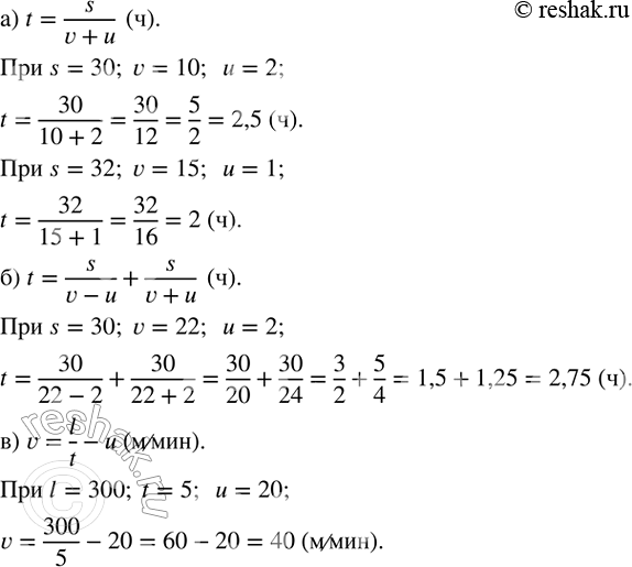
Рассмотрим вариант решения задания из учебника Дорофеев, Суворова, Бунимович 8 класс, Просвещение:
Составьте выражение по условию задачи:
а) Сколько времени потребуется, чтобы проплыть на моторной лодке s км по течению реки, если собственая скорость лодки v км/ч, скорость течения реки u км/ч? Найдите это время, если s=30, v=10, u=2; s=32, v=15, u=1.
б) Какое время потребуется катеру, чтобы проплыть s км против течения реки и вернуться обратно, если его собственная скорость v км/ч, а скорость течения реки u км/ч? Найдите это время, если s=30, v=22, u=2.
в) Пловец проплыл l м по течению реки за t мин. Чему равна собственная скорость пловца, если скорость течения реки u м/мин? Найдите скорость пловца, если l=300, t=5, u=20.
Популярные решебники 8 класс Все решебники
*размещая тексты в комментариях ниже, вы автоматически соглашаетесь с пользовательским соглашением