Упр.1.107 ГДЗ Дорофеев Суворова 8 класс (Алгебра)
Решение #1

Рассмотрим вариант решения задания из учебника Дорофеев, Суворова, Бунимович 8 класс, Просвещение:
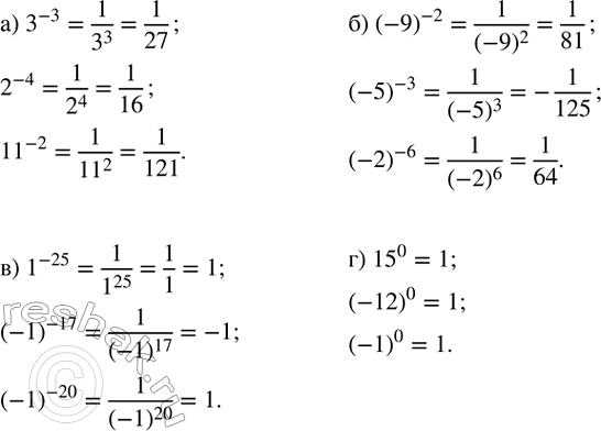
Вычислите:
а) 3^(-3);2^(-4);?11?^(-2);
б) (-9)^(-2);(-5)^(-3);(-2)^(-6);
в) 1^(-25);(-1)^(-17);(-1)^(-20);
г) ?15?^0;(-12)^0;(-1)^0.
Популярные решебники 8 класс Все решебники
*размещая тексты в комментариях ниже, вы автоматически соглашаетесь с пользовательским соглашением