Упр.1.103 ГДЗ Дорофеев Суворова 8 класс (Алгебра)
Решение #1

Рассмотрим вариант решения задания из учебника Дорофеев, Суворова, Бунимович 8 класс, Просвещение:
Упростите выражение:
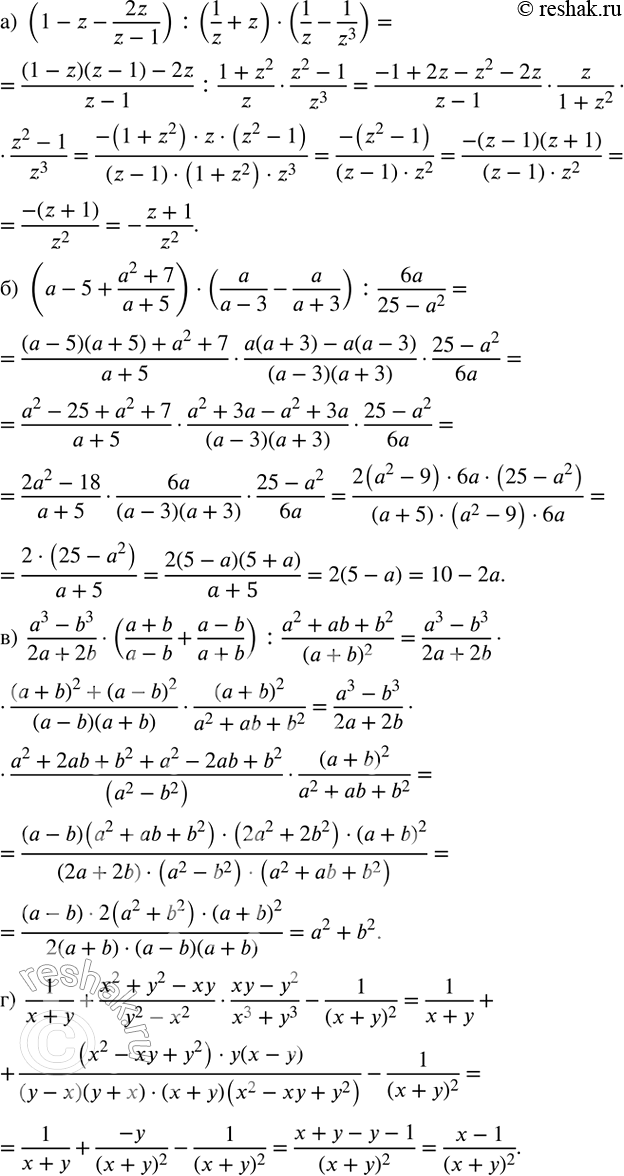
а) (1-z-2z/(z-1)) :(1/z+z)•(1/z-1/z^3 );
б) (a-5+(a^2+7)/(a+5))•(a/(a-3)-a/(a+3)) :6a/(25-a^2 );
в) (a^3-b^3)/(2a+2b)•((a+b)/(a-b)+(a-b)/(a+b)) :(a^2+ab+b^2)/(a+b)^2 ;
г) 1/(x+y)+(x^2+y^2-xy)/(y^2-x^2 )•(xy-y^2)/(x^3+y^3 )-1/(x+y)^2 .
Популярные решебники 8 класс Все решебники
*размещая тексты в комментариях ниже, вы автоматически соглашаетесь с пользовательским соглашением