Упр.1.100 ГДЗ Дорофеев Суворова 8 класс (Алгебра)
Решение #1

Рассмотрим вариант решения задания из учебника Дорофеев, Суворова, Бунимович 8 класс, Просвещение:
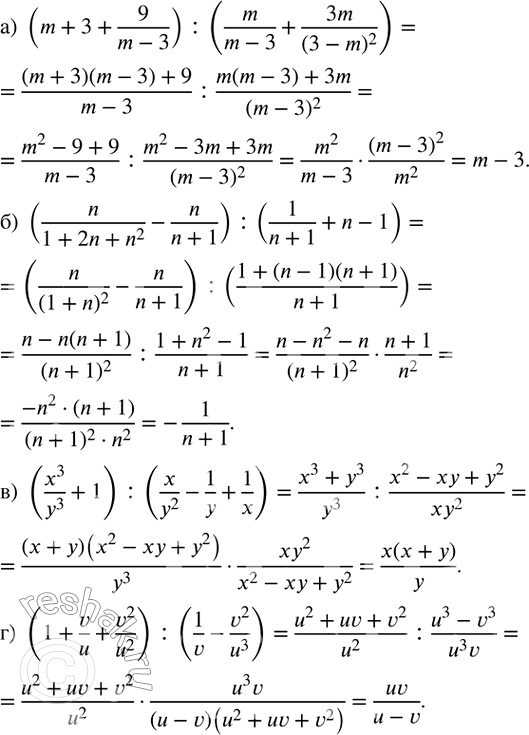
Упростите выражение:
а) (m+3+9/(m-3)) :(m/(m-3)+3m/(3-m)^2 );
б) (n/(1+2n+n^2 )-n/(n+1)) :(1/(n+1)+n-1);
в) (x^3/y^3 +1) :(x/y^2 -1/y+1/x);
г) (1+v/u+v^2/u^2 ) :(1/v-v^2/u^3 ).
Популярные решебники 8 класс Все решебники
*размещая тексты в комментариях ниже, вы автоматически соглашаетесь с пользовательским соглашением