Упр.1.1 ГДЗ Дорофеев Суворова 8 класс (Алгебра)
Решение #1

Рассмотрим вариант решения задания из учебника Дорофеев, Суворова, Бунимович 8 класс, Просвещение:
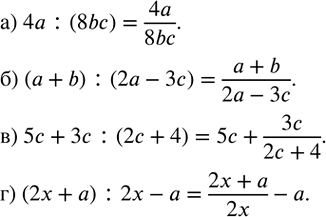
Перепишите данное выражение, заменив знак : чертой дроби:
а) 4a:(8bc);
б) (a+b) :(2a-3c);
в) 5c+3c:(2c+4);
г) (2x+a) :2x-a.
Популярные решебники 8 класс Все решебники
*размещая тексты в комментариях ниже, вы автоматически соглашаетесь с пользовательским соглашением