Итоговое повторение Упр.428 ГДЗ Мордкович Александрова 9 класс (Алгебра)
Решение #1 (Учебник 2019)

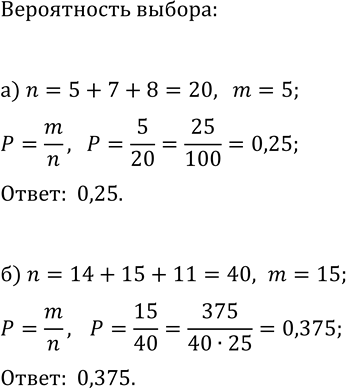
Рассмотрим вариант решения задания из учебника Мордкович, Александрова, Мишустина 9 класс, Мнемозина:
а) В школьных соревнованиях участвуют 5 спортсменов из 9 «А», 7 спортсменов из 9 «Б» и 8 спортсменов из 9 «В». Порядок, в котором выступают спортсмены, определяется жеребьёвкой. Найдите вероятность того, что участник соревнований из 9 «А» будет выступать последним.
б) В школьных соревнованиях участвуют 14 спортсменов из 9 «А», 15 спортсменов из 9 «Б» и 11 спортсменов из 9 «В». Порядок, в котором выступают спортсмены, определяется жеребьёвкой. Найдите вероятность того, что участник соревнований из 9 «Б» будет выступать вторым.
Похожие решебники
Популярные решебники 9 класс Все решебники
*К сожалению, временные проблемы с публикацией комментариев с мобильных устройств.